LTV·DTI·DSR로 보는 주택담보대출 한도 계산법 총정리

주택담보대출(주담대)을 받을 때 가장 중요한 기준이 LTV(주택담보인정비율)DTI(총부채상환비율), **DSR(총부채원리금상환비율)**입니다. 최근 금융당국이 대출 규제를 강화하면서, 이 세 가지 지표가 대출 한도를 결정하는 핵심 요소가 되었습니다. 이번 글에서는 LTV·DTI·DSR이 무엇인지, 주택담보대출 한도를 어떻게 계산하는지에 대해 자세히 정리해보겠습니다.

📌 LTV(주택담보인정비율)란?

LTV(Loan To Value Ratio)는 담보로 제공하는 주택의 가치 대비 대출 가능 금액의 비율입니다. 즉, 은행이 담보를 기준으로 얼마까지 대출을 해줄 수 있는지를 결정하는 지표입니다.

예를 들어, LTV가 70%이고 주택 가격이 5억 원이라면, 최대 3억 5천만 원까지 대출이 가능합니다.

✅ LTV 규제 기준

  • 투기지역·투기과열지구: LTV 40%
  • 조정대상지역: LTV 50%
  • 비규제지역: LTV 70% (1주택자), 60% (2주택자 이상)

📌 Tip! 신혼부부, 생애 최초 주택 구입자는 LTV 우대 혜택을 받을 수 있으며, 최대 80%까지 적용 가능합니다.

📌 DTI(총부채상환비율)란?

DTI(Debt To Income Ratio)는 연소득 대비 부채 상환액의 비율을 의미합니다. 쉽게 말해, 연간 소득에서 대출 상환액이 차지하는 비율을 제한하는 규제입니다.

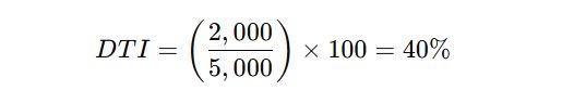
✅ DTI 계산 공식

예를 들어, 연봉이 5천만 원이고 연간 원리금 상환액이 2천만 원이라면,

즉, DTI가 40%라는 의미입니다.

✅ DTI 규제 기준

  • 투기지역·투기과열지구40%
  • 조정대상지역50%
  • 비규제지역: 제한 없음

📌 DSR(총부채원리금상환비율)란?

DSR(Debt Service Ratio)는 모든 금융권 대출을 포함한 원리금 상환액이 연소득에서 차지하는 비율을 의미합니다. DTI는 주택담보대출만 포함하지만, DSR은 신용대출·카드론·학자금 대출 등 모든 부채를 포함한다는 점이 차이점입니다.

✅ DSR 계산 공식

예를 들어, 연봉이 5천만 원이고 주택담보대출·신용대출·자동차 할부 등을 합친 연간 원리금 상환액이 2천 5백만 원이라면,

✅ DSR 규제 기준

  • 1금융권 대출40% 이하
  • 2금융권 대출50% 이하
  • 총 대출액 1억 원 초과 시 개인별 DSR 적용

📌 LTV·DTI·DSR에 따른 대출 한도 계산법

대출 한도는 LTV, DTI, DSR 중 가장 낮은 값을 기준으로 결정됩니다. 즉, 세 가지 규제 중 가장 적게 나오는 금액이 실제 대출 한도가 됩니다.

✅ 대출 한도 계산 예시

항목
주택 가격 6억 원
LTV(50%) 적용 최대 3억 원 대출 가능
연소득 6천만 원
DTI(40%) 적용 최대 2억 4천만 원 대출 가능
DSR(40%) 적용 최대 2억 원 대출 가능

 

💡 이 경우, DSR이 가장 낮은 금액을 제한하므로 실제 대출 한도는 2억 원이 됩니다.

📌 대출 한도를 높이는 방법

  1. 부채 상환: 신용대출, 카드론 등을 먼저 갚으면 DSR이 낮아져 대출 한도가 증가할 수 있습니다.
  2. 연소득 증빙: 추가적인 소득을 증빙(임대 소득, 사업 소득 등)하면 대출 한도가 늘어날 수 있습니다.
  3. 공동 대출 신청: 배우자와 함께 대출을 신청하면 소득이 합산 적용되어 한도가 증가할 수 있습니다.
  4. LTV 우대 혜택 활용: 생애 최초 주택 구입자, 신혼부부 등은 LTV 우대 혜택을 활용하면 한도가 늘어날 수 있습니다.

📌 자주 묻는 질문 (FAQ)

Q1. LTV·DTI·DSR 중 가장 중요한 기준은?
A. DSR이 가장 강력한 규제입니다. 최근 금융당국이 개인별 DSR을 적용하면서, 대출 한도는 DSR을 기준으로 결정되는 경우가 많습니다.

Q2. 신용대출이 많으면 주택담보대출 한도도 줄어드나요?
A. 네, 신용대출이 많으면 DSR이 높아져 주택담보대출 한도가 줄어들 수 있습니다. 따라서 대출 전 신용대출 상환을 고려하는 것이 좋습니다.

Q3. 2금융권에서 대출을 받으면 한도가 늘어나나요?
A. 일부 2금융권에서는 DSR 50%까지 허용되지만, 금리가 높아질 수 있으므로 신중하게 결정해야 합니다.

Q4. 대출 규제가 완화될 가능성이 있나요?
A. 정부 정책에 따라 변동될 수 있으므로 금융당국의 발표를 수시로 확인하는 것이 중요합니다.

주택담보대출 한도는 LTV·DTI·DSR 세 가지 규제 중 가장 낮은 값으로 결정됩니다. 대출을 계획하고 있다면, 자신의 소득과 기존 대출 상태를 점검하고, 한도를 최적화할 수 있는 방법을 활용하는 것이 중요합니다.

🔹 대출 한도를 최대한 늘리고 싶다면?
✔️ 신용대출을 줄이고
✔️ 소득 증빙을 강화하며
✔️ 정부의 LTV 우대 혜택을 활용하세요!

📌 대출을 받기 전에 여러 금융기관의 조건을 비교하고, 최적의 상품을 선택하는 것이 가장 중요합니다.